801858

$0.00

From Seattle, Washington on 8/29/2023
Assumed to be heroin

2 major substances detected:

  • acetylcodeine
  • heroin

And we also found traces of 6-monoacetylmorphine (6-MAM) + papaverine. Trace substances in small quantities are usually harmless, but can sometimes cause health problems. Unexpected sensations may be due to these.

Looks = dark brown tar

Need free supplies and advice to keep you safe? Find your nearest harm reduction program at harmreduction.org

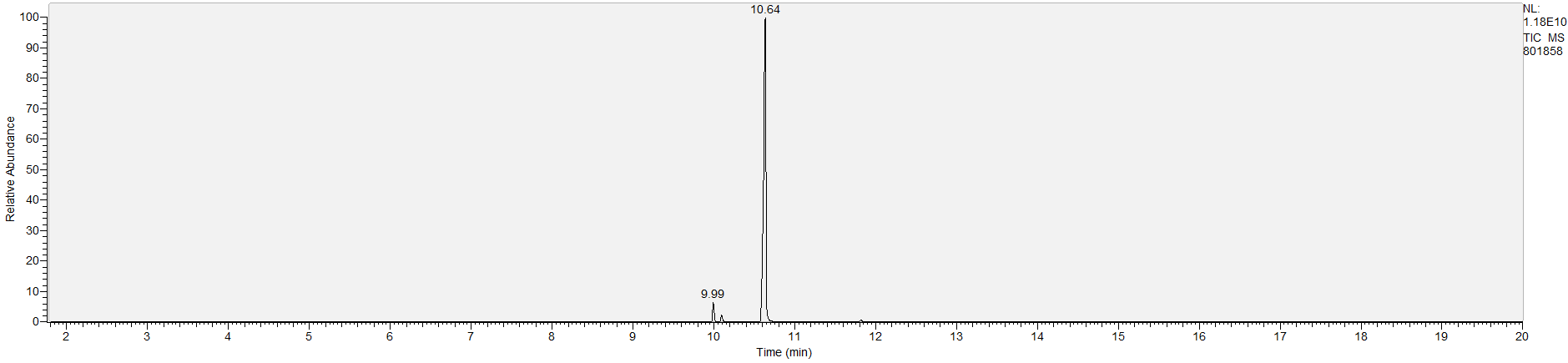
Major substances in graph:
  • Peak 10.64 = heroin
  • Peak 9.99 = acetylcodeine

Method(s): GCMS

Lab Notes:
Record for Sample 801858 last updated 11 Sep 2023.

From Seattle, Washington on 8/29/2023
Assumed to be heroin

2 major substances detected:

  • acetylcodeine
  • heroin

And we also found traces of 6-monoacetylmorphine (6-MAM) + papaverine. Trace substances in small quantities are usually harmless, but can sometimes cause health problems. Unexpected sensations may be due to these.

Looks = dark brown tar

Need free supplies and advice to keep you safe? Find your nearest harm reduction program at harmreduction.org

Major substances in graph:
  • Peak 10.64 = heroin
  • Peak 9.99 = acetylcodeine

Method(s): GCMS

Lab Notes:
Record for Sample 801858 last updated 11 Sep 2023.