801601

$0.00

From Seattle, Washington on 7/9/2023
Assumed to be 2C-B

2 major substances detected:

  • caffeine
  • 2C-B

Looks = green powder, chunky

Need free supplies and advice to keep you safe? Find your nearest harm reduction program at harmreduction.org

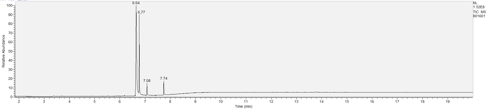
Major substances in graph:
  • Peak 6.64 = 2C-B
  • Peak 6.77 = caffeine

Method(s): GCMS

Lab Notes:
Record for Sample 801601 last updated 23 Jul 2023.

From Seattle, Washington on 7/9/2023
Assumed to be 2C-B

2 major substances detected:

  • caffeine
  • 2C-B

Looks = green powder, chunky

Need free supplies and advice to keep you safe? Find your nearest harm reduction program at harmreduction.org

Major substances in graph:
  • Peak 6.64 = 2C-B
  • Peak 6.77 = caffeine

Method(s): GCMS

Lab Notes:
Record for Sample 801601 last updated 23 Jul 2023.