801539

$0.00

From Seattle, Washington on 7/30/2023
Assumed to be 3-MMC

Only 1 major substance detected:

  • 3-methylmethcathinone

Looks = white capsule

Need free supplies and advice to keep you safe? Find your nearest harm reduction program at harmreduction.org

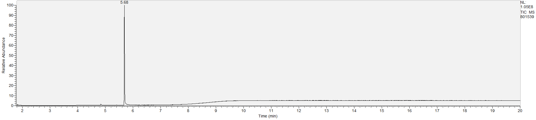
Major substances in graph:
  • Peak 5.68 = 3-methylmethcathinone

Method(s): GCMS

Lab Notes:
Record for Sample 801539 last updated 25 Aug 2023.

From Seattle, Washington on 7/30/2023
Assumed to be 3-MMC

Only 1 major substance detected:

  • 3-methylmethcathinone

Looks = white capsule

Need free supplies and advice to keep you safe? Find your nearest harm reduction program at harmreduction.org

Major substances in graph:
  • Peak 5.68 = 3-methylmethcathinone

Method(s): GCMS

Lab Notes:
Record for Sample 801539 last updated 25 Aug 2023.