801185

$0.00

From Oakland, California on 8/31/2023
Assumed to be ketamine

Only 1 major substance detected:

  • ketamine

Looks = clear crystals

Need free supplies and advice to keep you safe? Find your nearest harm reduction program at harmreduction.org

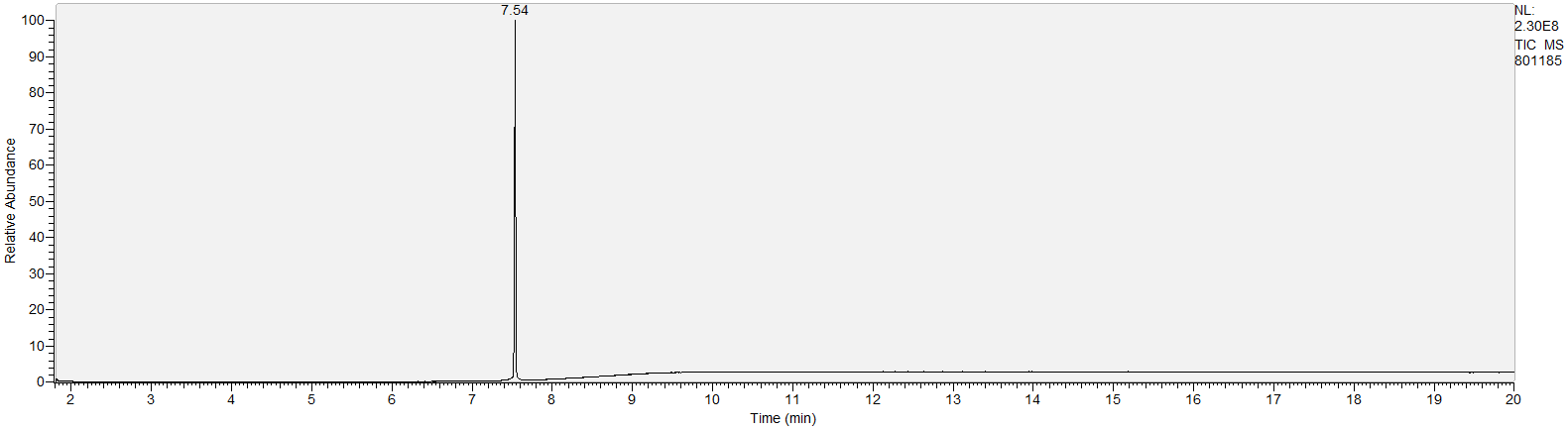
Major substances in graph:
  • Peak 7.54 = ketamine

Method(s): GCMS

Lab Notes:
Record for Sample 801185 last updated 14 Sep 2023.

From Oakland, California on 8/31/2023
Assumed to be ketamine

Only 1 major substance detected:

  • ketamine

Looks = clear crystals

Need free supplies and advice to keep you safe? Find your nearest harm reduction program at harmreduction.org

Major substances in graph:
  • Peak 7.54 = ketamine

Method(s): GCMS

Lab Notes:
Record for Sample 801185 last updated 14 Sep 2023.