801122

$0.00

From Seattle, Washington on 6/4/2023
Assumed to be mescaline

Only 1 major substance detected:

  • mescaline

Looks = white powder

Need free supplies and advice to keep you safe? Find your nearest harm reduction program at harmreduction.org

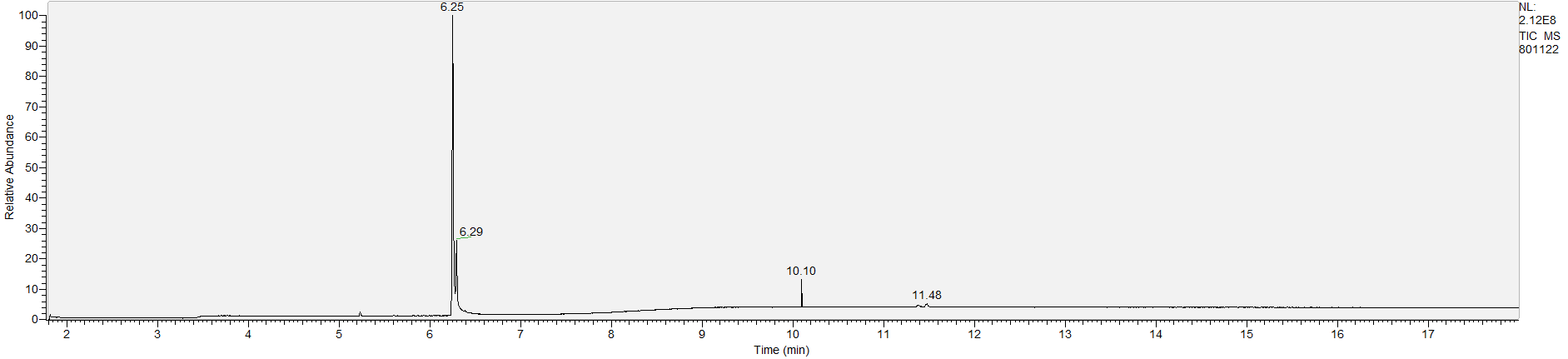
Major substances in graph:
  • Peak 6.25 = mescaline

Method(s): GCMS

Lab Notes:
Record for Sample 801122 last updated 3 Jul 2023.

From Seattle, Washington on 6/4/2023
Assumed to be mescaline

Only 1 major substance detected:

  • mescaline

Looks = white powder

Need free supplies and advice to keep you safe? Find your nearest harm reduction program at harmreduction.org

Major substances in graph:
  • Peak 6.25 = mescaline

Method(s): GCMS

Lab Notes:
Record for Sample 801122 last updated 3 Jul 2023.