800708

$0.00

From Seattle, Washington on 5/12/2023
Assumed to be LSD

2 major substances detected:

  • glycerin
  • lysergic acid diethylamide (LSD)

Looks = orange

Need free supplies and advice to keep you safe? Find your nearest harm reduction program at harmreduction.org

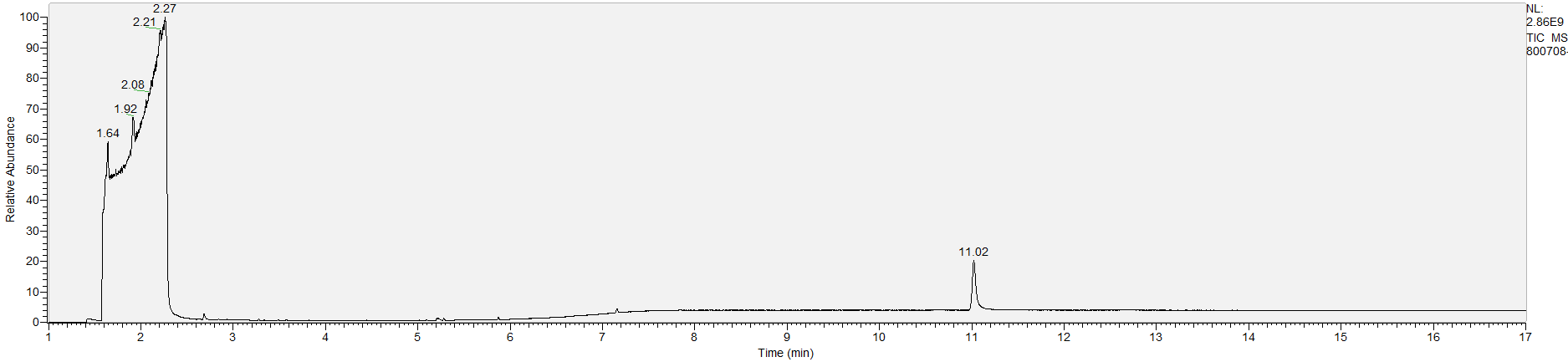
Major substances in graph:
  • Peak 11.02 = lysergic acid diethylamide (LSD)
  • Peak 2.27 = glycerin

Method(s): GCMS

Lab Notes:
Record for Sample 800708 last updated 6 Jun 2023.

From Seattle, Washington on 5/12/2023
Assumed to be LSD

2 major substances detected:

  • glycerin
  • lysergic acid diethylamide (LSD)

Looks = orange

Need free supplies and advice to keep you safe? Find your nearest harm reduction program at harmreduction.org

Major substances in graph:
  • Peak 11.02 = lysergic acid diethylamide (LSD)
  • Peak 2.27 = glycerin

Method(s): GCMS

Lab Notes:
Record for Sample 800708 last updated 6 Jun 2023.